由高能鋰金屬陽極(LMAs)和富鎳陰極組成的鋰金屬電池(LMBs),被認為是下一代二次電池的候選材料。然而,這些高活性電極材料常因缺乏保護電解質/電極界面相(EEIs),而與傳統電解質的界面相容性較差,進而存在枝晶鋰生長、低庫侖效率(CE)、材料鈍化等缺陷。因此,尋找合適的電解質是實現LMBs高界面穩定性和長壽命的有效策略。
Monionic?載流子液 1-乙基-3-甲基咪唑雙氟磺酰亞胺鹽, FIM1002 99.9%,電池級
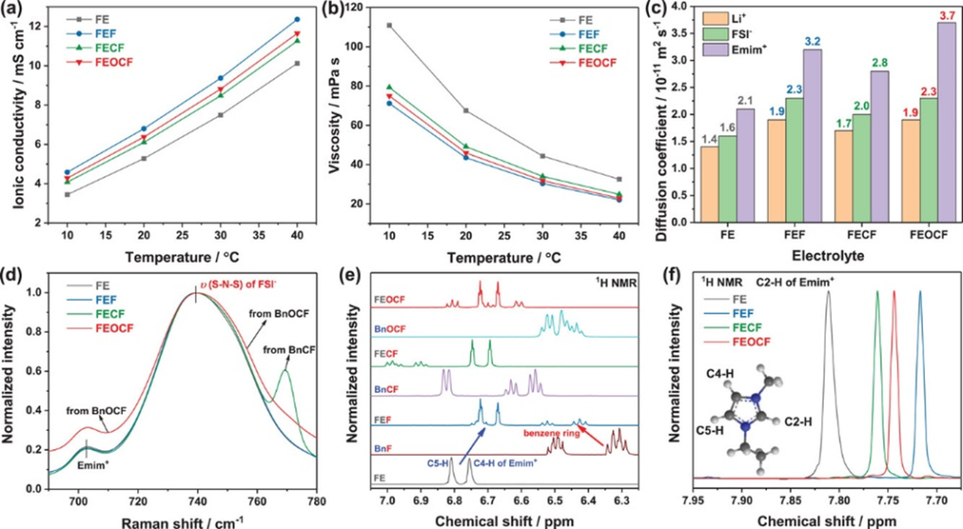
FIM1002用作鋰電池“安全”電解液的重要組成,充當特效助劑與溶劑作用,兼容多種鋰(Li)鹽,高效阻燃、低熔點、低 粘度、不揮發、高導電、寬電化學窗口。
